
近日,公司77779193永利集团赵斌老师在中科院一区TOP期刊-《ACS Macro Letters》上发表题为 “Laves Phases Emerge in Neat AB-Type Block Copolymer as Hybrid Spherical Phases” 的研究论文。该工作通过理论建模和数值模拟,首次预测在纯AB型嵌段共聚物体系中可稳定形成拓扑复杂的Laves相球形结构,为聚合物自组装研究开辟了新的方向。
嵌段共聚物因其在纳米尺度上可自发形成多种周期性结构,一直是功能材料设计中的重要平台。而球形相的拓扑结构长期被认为受限于简单的立方晶格类型(如BCC、FCC),复杂球形结构如Laves相多见于胶体或合金体系中,在纯聚合物系统中的存在与稳定性一直缺乏系统性认识。
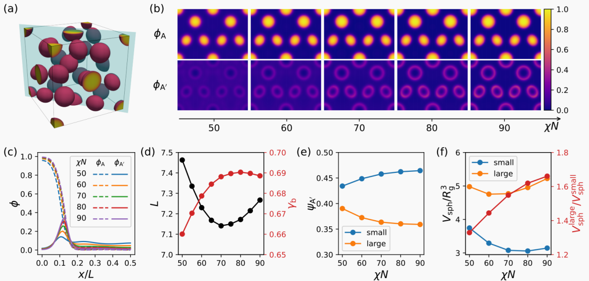
在本研究中,论文作者基于自洽场理论(SCFT)与机器学习的方法,对AB型嵌段共聚物在广泛参数空间下的相行为进行高精度扫描。研究发现,在一定的体积分数比与链段互作用参数条件下,系统的自由能最小值对应于一种混合型球形Laves相结构(C14和C15类型)。这一结构的形成无需任何外场调控或第三组分引入,完全由链构型的几何拓扑与链段的分离强度驱动。论文进一步指出,该Laves相因为同时具备不同的自发曲率,因此可以看作是一类新型的混杂结构。同时,文章提出了“分子内共混”自组装机理,该理论预测不仅挑战了对嵌段共聚物球形相分类的传统认知,也为实验上探索复杂球形结构以及混杂相结构提供了理论依据。审稿人对该工作的巧妙与前瞻性给予高度评价,认为其“拓展了人们对多嵌段共聚物软物质体系形成机制的基本理解,具有重要的理论意义”。
本论文的第一作者为台州学院77779193永利集团赵斌老师(第一单位),合作者包括公司国有资产与实验室管理处处长王超教授以及复旦大学聚合物分子工程全国重点实验室、高分子科学系主任、国家杰出青年科学基金获得者李卫华教授。德国马克斯普朗克动力学与自组织研究所强宜澄博士担任本论文的唯一通讯作者。本项研究得到了国家自然科学基金青年项目、国家自然科学基金重点项目以及复旦大学聚合物分子工程全国重点实验室开放基金的联合资助。
论文链接: https://doi.org/10.1021/acsmacrolett.5c00084